HL Paper 2
A wind turbine is designed so that the rotation of the blades generates electricity. The turbine is built on horizontal ground and is made up of a vertical tower and three blades.
The point is on the base of the tower directly below point at the top of the tower. The height of the tower, , is . The blades of the turbine are centred at and are each of length . This is shown in the following diagram.
The end of one of the blades of the turbine is represented by point on the diagram. Let be the height of above the ground, measured in metres, where varies as the blade rotates.
Find the
The blades of the turbine complete rotations per minute under normal conditions, moving at a constant rate.
The height, , of point can be modelled by the following function. Time, , is measured from the instant when the blade first passes and is measured in seconds.
maximum value of .
minimum value of .
Find the time, in seconds, it takes for the blade to make one complete rotation under these conditions.
Calculate the angle, in degrees, that the blade turns through in one second.
Write down the amplitude of the function.
Find the period of the function.
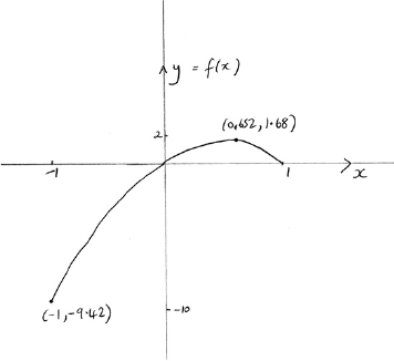
Sketch the function for , clearly labelling the coordinates of the maximum and minimum points.
Find the height of above the ground when .
Find the time, in seconds, that point is above a height of , during each complete rotation.
The wind speed increases and the blades rotate faster, but still at a constant rate.
Given that point is now higher than for second during each complete rotation, find the time for one complete rotation.
Markscheme
maximum metres A1
[1 mark]
minimum metres A1
[1 mark]
A1
[1 mark]
(M1)
Note: Award (M1) for divided by their time for one revolution.
A1
[2 marks]
(amplitude =) A1
[1 mark]
(period ) A1
[1 mark]
Maximum point labelled with correct coordinates. A1
At least one minimum point labelled. Coordinates seen for any minimum points must be correct. A1
Correct shape with an attempt at symmetry and “concave up" evident as it approaches the minimum points. Graph must be drawn in the given domain. A1
[3 marks]
(M1)
A1
[2 marks]
evidence of on graph OR (M1)
coordinates OR or equivalent (A1)
Note: Award A1 for either -coordinate seen.
seconds A1
[3 marks]
METHOD 1
(M1)
(A1)
(M1)
(A1)
period seconds A1
METHOD 2
attempt at diagram (M1)
(or recognizing special triangle) (M1)
angle made by , (A1)
one third of a revolution in second (M1)
hence one revolution seconds A1
METHOD 3
considering on original function (M1)
or (A1)
(A1)
Note: Accept or equivalent.
so period is of original period (R1)
so new period is seconds A1
[5 marks]
Examiners report
This was perhaps the question with the best responses on the paper. Many candidates got close to full marks on this problem. The issues associated with the question were sometimes due to a lack of understanding of the definitions of amplitude and period. A good number of candidates solved both parts of part (e) suggesting that they had a good understanding of the concept of a function and how it can be applied to mathematical models. Part (f) was also well done by a surprisingly large number of candidates using a variety of approaches. This is evidence that candidates had good problem-solving skills.
This was perhaps the question with the best responses on the paper. Many candidates got close to full marks on this problem. The issues associated with the question were sometimes due to a lack of understanding of the definitions of amplitude and period. A good number of candidates solved both parts of part (e) suggesting that they had a good understanding of the concept of a function and how it can be applied to mathematical models. Part (f) was also well done by a surprisingly large number of candidates using a variety of approaches. This is evidence that candidates had good problem-solving skills.
This was perhaps the question with the best responses on the paper. Many candidates got close to full marks on this problem. The issues associated with the question were sometimes due to a lack of understanding of the definitions of amplitude and period. A good number of candidates solved both parts of part (e) suggesting that they had a good understanding of the concept of a function and how it can be applied to mathematical models. Part (f) was also well done by a surprisingly large number of candidates using a variety of approaches. This is evidence that candidates had good problem-solving skills.
This was perhaps the question with the best responses on the paper. Many candidates got close to full marks on this problem. The issues associated with the question were sometimes due to a lack of understanding of the definitions of amplitude and period. A good number of candidates solved both parts of part (e) suggesting that they had a good understanding of the concept of a function and how it can be applied to mathematical models. Part (f) was also well done by a surprisingly large number of candidates using a variety of approaches. This is evidence that candidates had good problem-solving skills.
This was perhaps the question with the best responses on the paper. Many candidates got close to full marks on this problem. The issues associated with the question were sometimes due to a lack of understanding of the definitions of amplitude and period. A good number of candidates solved both parts of part (e) suggesting that they had a good understanding of the concept of a function and how it can be applied to mathematical models. Part (f) was also well done by a surprisingly large number of candidates using a variety of approaches. This is evidence that candidates had good problem-solving skills.
This was perhaps the question with the best responses on the paper. Many candidates got close to full marks on this problem. The issues associated with the question were sometimes due to a lack of understanding of the definitions of amplitude and period. A good number of candidates solved both parts of part (e) suggesting that they had a good understanding of the concept of a function and how it can be applied to mathematical models. Part (f) was also well done by a surprisingly large number of candidates using a variety of approaches. This is evidence that candidates had good problem-solving skills.
This was perhaps the question with the best responses on the paper. Many candidates got close to full marks on this problem. The issues associated with the question were sometimes due to a lack of understanding of the definitions of amplitude and period. A good number of candidates solved both parts of part (e) suggesting that they had a good understanding of the concept of a function and how it can be applied to mathematical models. Part (f) was also well done by a surprisingly large number of candidates using a variety of approaches. This is evidence that candidates had good problem-solving skills.
This was perhaps the question with the best responses on the paper. Many candidates got close to full marks on this problem. The issues associated with the question were sometimes due to a lack of understanding of the definitions of amplitude and period. A good number of candidates solved both parts of part (e) suggesting that they had a good understanding of the concept of a function and how it can be applied to mathematical models. Part (f) was also well done by a surprisingly large number of candidates using a variety of approaches. This is evidence that candidates had good problem-solving skills.
This was perhaps the question with the best responses on the paper. Many candidates got close to full marks on this problem. The issues associated with the question were sometimes due to a lack of understanding of the definitions of amplitude and period. A good number of candidates solved both parts of part (e) suggesting that they had a good understanding of the concept of a function and how it can be applied to mathematical models. Part (f) was also well done by a surprisingly large number of candidates using a variety of approaches. This is evidence that candidates had good problem-solving skills.
This was perhaps the question with the best responses on the paper. Many candidates got close to full marks on this problem. The issues associated with the question were sometimes due to a lack of understanding of the definitions of amplitude and period. A good number of candidates solved both parts of part (e) suggesting that they had a good understanding of the concept of a function and how it can be applied to mathematical models. Part (f) was also well done by a surprisingly large number of candidates using a variety of approaches. This is evidence that candidates had good problem-solving skills.
The cross-sectional view of a tunnel is shown on the axes below. The line represents a vertical wall located at the left side of the tunnel. The height, in metres, of the tunnel above the horizontal ground is modelled by , relative to an origin .
Point has coordinates , point has coordinates , and point has coordinates .
Find the height of the tunnel when
Find .
Hence find the maximum height of the tunnel.
.
.
Use the trapezoidal rule, with three intervals, to estimate the cross-sectional area of the tunnel.
Write down the integral which can be used to find the cross-sectional area of the tunnel.
Hence find the cross-sectional area of the tunnel.
Markscheme
evidence of power rule (at least one correct term seen) (M1)
A1
[2 marks]
M1
A1
(M1)
Note: Award M1 for substituting their zero for into .
A1
Note: Award M0A0M0A0 for an unsupported .
Award at most M0A0M1A0 if only the last two lines in the solution are seen.
Award at most M1A0M1A1 if their is not seen.
[6 marks]
One correct substitution seen (M1)
A1
[2 marks]
A1
[1 mark]
(A1)(M1)
Note: Award A1 for seen. Award M1 for correct substitution into the trapezoidal rule (the zero can be omitted in working).
A1
[3 marks]
OR A1A1
Note: Award A1 for a correct integral, A1 for correct limits in the correct location. Award at most A0A1 if is omitted.
[2 marks]
A2
Note: As per the marking instructions, FT from their integral in part (d)(i). Award at most A1FTA0 if their area is , this is outside the constraints of the question (a rectangle).
[2 marks]
Examiners report
A student investigating the relationship between chemical reactions and temperature finds the Arrhenius equation on the internet.
This equation links a variable with the temperature , where and are positive constants and .
The Arrhenius equation predicts that the graph of against is a straight line.
Write down
The following data are found for a particular reaction, where is measured in Kelvin and is measured in :
Find an estimate of
Show that is always positive.
Given that and , sketch the graph of against .
(i) the gradient of this line in terms of ;
(ii) the -intercept of this line in terms of .
Find the equation of the regression line for on .
.
It is not required to state units for this value.
.
It is not required to state units for this value.
Markscheme
attempt to use chain rule, including the differentiation of (M1)
A1
this is the product of positive quantities so must be positive R1
Note: The R1 may be awarded for correct argument from their derivative. R1 is not possible if their derivative is not always positive.
[3 marks]
A1A1A1
Note: Award A1 for an increasing graph, entirely in first quadrant, becoming concave down for larger values of , A1 for tending towards the origin and A1 for asymptote labelled at .
[3 marks]
taking of both sides OR substituting and (M1)
OR (A1)
(i) so gradient is A1
(ii) -intercept is A1
Note: The implied (M1) and (A1) can only be awarded if both correct answers are seen. Award zero if only one value is correct and no working is seen.
[4 marks]
an attempt to convert data to and (M1)
e.g. at least one correct row in the following table
line is A1
[2 marks]
A1
[1 mark]
attempt to rearrange or solve graphically (M1)
A1
Note: Accept an value of … from use of value.
[2 marks]
Examiners report
This question caused significant difficulties for many candidates and many did not even attempt the question. Very few candidates were able to differentiate the expression in part (a) resulting in difficulties for part (b). Responses to parts (c) to (e) illustrated a lack of understanding of linearizing a set of data. Those candidates that were able to do part (d) frequently lost a mark as their answer was given in x and y.
Consider the expression .
The expression can be written as where .
Let , β be the roots of , where 0 < < 1.
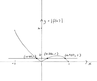
Sketch the graph of for .
With reference to your graph, explain why is a function on the given domain.
Explain why has no inverse on the given domain.
Explain why is not a function for .
Show that .
Sketch the graph of for t ≤ 0. Give the coordinates of any intercepts and the equations of any asymptotes.
Find and β in terms of .
Show that + β < −2.
Markscheme
A1A1
A1 for correct concavity, many to one graph, symmetrical about the midpoint of the domain and with two axes intercepts.
Note: Axes intercepts and scales not required.
A1 for correct domain
[2 marks]
for each value of there is a unique value of A1
Note: Accept “passes the vertical line test” or equivalent.
[1 mark]
no inverse because the function fails the horizontal line test or equivalent R1
Note: No FT if the graph is in degrees (one-to-one).
[1 mark]
the expression is not valid at either of R1
[1 mark]
METHOD 1
M1
M1A1
AG
METHOD 2
(M1)
A1
A1
AG
[3 marks]
for t ≤ 0, correct concavity with two axes intercepts and with asymptote = 1 A1
t intercept at (−1, 0) A1
intercept at (0, 1) A1
[3 marks]
METHOD 1
, β satisfy M1
A1
A1
attempt at using quadratic formula M1
, β or equivalent A1
METHOD 2
, β satisfy M1
M1
(or equivalent) A1
M1
(or equivalent) A1
so for eg, , β
[5 marks]
+ β A1
since R1
+ β < −2 AG
Note: Accept a valid graphical reasoning.
[2 marks]
Examiners report
Charlotte decides to model the shape of a cupcake to calculate its volume.
From rotating a photograph of her cupcake she estimates that its cross-section passes through the points and , where all units are in centimetres. The cross-section is symmetrical in the -axis, as shown below:
She models the section from to as a straight line.
Charlotte models the section of the cupcake that passes through the points and with a quadratic curve.
Charlotte thinks that a quadratic with a maximum point at and that passes through the point would be a better fit.
Believing this to be a better model for her cupcake, Charlotte finds the volume of revolution about the -axis to estimate the volume of the cupcake.
Find the equation of the line passing through these two points.
Find the equation of the least squares regression quadratic curve for these four points.
By considering the gradient of this curve when , explain why it may not be a good model.
Find the equation of the new model.
Write down an expression for her estimate of the volume as a sum of two integrals.
Find the value of Charlotte’s estimate.
Markscheme
A1A1
Note: Award A1 for , A1 for .
Award a maximum of A0A1 if not part of an equation.
[2 marks]
(M1)A1
[2 marks]
gradient of curve is positive at R1
Note: Accept a sensible rationale that refers to the gradient.
[1 mark]
METHOD 1
let
differentiating or using (M1)
substituting in the coordinates
(A1)
(A1)
solve to get
OR A1
Note: Use of quadratic regression with points using the symmetry of the graph is a valid method.
METHOD 2
(M1)
(M1)
(A1)
OR A1
[4 marks]
(M1)(M1) (M1)A1
Note: Award (M1)(M1)(M1)A0 if is omitted but response is otherwise correct. Award (M1) for an integral that indicates volume, (M1) for their part (a) within their volume integral, (M1) for their part (b)(i) within their volume integral, A1 for their correct two integrals with all correct limits.
[4 marks]
A1
[1 mark]
Examiners report
An environmental scientist is asked by a river authority to model the effect of a leak from a power plant on the mercury levels in a local river. The variable measures the concentration of mercury in micrograms per litre.
The situation is modelled using the second order differential equation
where is the time measured in days since the leak started. It is known that when and .
If the mercury levels are greater than micrograms per litre, fishing in the river is considered unsafe and is stopped.
The river authority decides to stop people from fishing in the river for longer than the time found from the model.
Show that the system of coupled first order equations:
can be written as the given second order differential equation.
Find the eigenvalues of the system of coupled first order equations given in part (a).
Hence find the exact solution of the second order differential equation.
Sketch the graph of against , labelling the maximum point of the graph with its coordinates.
Use the model to calculate the total amount of time when fishing should be stopped.
Write down one reason, with reference to the context, to support this decision.
Markscheme
differentiating first equation. M1
substituting in for M1
therefore AG
Note: The AG line must be seen to award the final M1 mark.
[2 marks]
the relevant matrix is (M1)
Note: is also possible.
(this has characteristic equation) (A1)
A1
[3 marks]
EITHER
the general solution is M1
Note: Must have constants, but condone sign error for the M1.
so M1A1
OR
attempt to find eigenvectors (M1)
respective eigenvectors are and (or any multiple)
(M1)A1
THEN
the initial conditions become:
M1
this is solved by
so the solution is A1
[5 marks]
A1A1
Note: Award A1 for correct shape (needs to go through origin, have asymptote at and a single maximum; condone ). Award A1 for correct coordinates of maximum.
[2 marks]
intersecting graph with (M1)
so the time fishing is stopped between and (A1)
days A1
[3 marks]
Any reasonable answer. For example:
There are greater downsides to allowing fishing when the levels may be dangerous than preventing fishing when the levels are safe.
The concentration of mercury may not be uniform across the river due to natural variation / randomness.
The situation at the power plant might get worse.
Mercury levels are low in water but still may be high in fish. R1
Note: Award R1 for a reasonable answer that refers to this specific context (and not a generic response that could apply to any model).
[1 mark]
Examiners report
Many candidates did not get this far, but the attempts at the question that were seen were generally good. The greater difficulties were seen in parts (e) and (f), but this could be a problem with time running out.
The voltage in a circuit is given by the equation
, where is measured in seconds.
The current in this circuit is given by the equation
.
The power in this circuit is given by .
The average power in this circuit from to is given by the equation
, where .
Write down the maximum and minimum value of .
Write down two transformations that will transform the graph of onto the graph of .
Sketch the graph of for 0 ≤ ≤ 0.02 , showing clearly the coordinates of the first maximum and the first minimum.
Find the total time in the interval 0 ≤ ≤ 0.02 for which ≥ 3.
Find (0.007).
With reference to your graph of explain why > 0 for all > 0.
Given that can be written as where , , , > 0, use your graph to find the values of , , and .
Markscheme
* This question is from an exam for a previous syllabus, and may contain minor differences in marking or structure.
3, −3 A1A1
[2 marks]
stretch parallel to the -axis (with -axis invariant), scale factor A1
translation of (shift to the left by 0.003) A1
Note: Can be done in either order.
[2 marks]
correct shape over correct domain with correct endpoints A1
first maximum at (0.0035, 4.76) A1
first minimum at (0.0085, −1.24) A1
[3 marks]
≥ 3 between = 0.0016762 and 0.0053238 and = 0.011676 and 0.015324 (M1)(A1)
Note: Award M1A1 for either interval.
= 0.00730 A1
[3 marks]
(M1)
= 2.87 A1
[2 marks]
in each cycle the area under the axis is smaller than area above the axis R1
the curve begins with the positive part of the cycle R1
[2 marks]
(M1)
A1
A1
A1
(M1)
A1
[6 marks]
Examiners report
Consider
The function is defined by
The function is defined by .
Find the largest possible domain for to be a function.
Sketch the graph of showing clearly the equations of asymptotes and the coordinates of any intercepts with the axes.
Explain why is an even function.
Explain why the inverse function does not exist.
Find the inverse function and state its domain.
Find .
Hence, show that there are no solutions to ;
Hence, show that there are no solutions to .
Markscheme
* This question is from an exam for a previous syllabus, and may contain minor differences in marking or structure.
(M1)
or A1
[2 marks]

shape A1
and A1
-intercepts A1
[3 marks]
EITHER
is symmetrical about the -axis R1
OR
R1
[1 mark]
EITHER
is not one-to-one function R1
OR
horizontal line cuts twice R1
Note: Accept any equivalent correct statement.
[1 mark]
M1
M1
A1A1
[4 marks]
M1A1
A1
[3 marks]
M1
which is not in the domain of (hence no solutions to ) R1
[2 marks]
M1
as so no solutions to R1
Note: Accept: equation has no solutions.
[2 marks]
Examiners report
At an archery tournament, a particular competition sees a ball launched into the air while an archer attempts to hit it with an arrow.
The path of the ball is modelled by the equation
where is the horizontal displacement from the archer and is the vertical displacement from the ground, both measured in metres, and is the time, in seconds, since the ball was launched.
- is the horizontal component of the initial velocity
- is the vertical component of the initial velocity.
In this question both the ball and the arrow are modelled as single points. The ball is launched with an initial velocity such that and .
An archer releases an arrow from the point . The arrow is modelled as travelling in a straight line, in the same plane as the ball, with speed and an angle of elevation of .
Find the initial speed of the ball.
Find the angle of elevation of the ball as it is launched.
Find the maximum height reached by the ball.
Assuming that the ground is horizontal and the ball is not hit by the arrow, find the coordinate of the point where the ball lands.
For the path of the ball, find an expression for in terms of .
Determine the two positions where the path of the arrow intersects the path of the ball.
Determine the time when the arrow should be released to hit the ball before the ball reaches its maximum height.
Markscheme
(M1)
A1
[2 marks]
(M1)
OR ( OR ) A1
Note: Accept or from use of .
[2 marks]
(M1)
Note: The M1 might be implied by a correct graph or use of the correct equation.
METHOD 1 – graphical Method
sketch graph (M1)
Note: The M1 might be implied by correct graph or correct maximum (eg ).
max occurs when A1
METHOD 2 – calculus
differentiating and equating to zero (M1)
A1
METHOD 3 – symmetry
line of symmetry is (M1)
A1
[3 marks]
attempt to solve (M1)
(or ) (A1)
A1
Note: Do not award the final A1 if is also seen.
[3 marks]
METHOD 1
M1A1
A1
METHOD 2
A1
when so M1A1
METHOD 3
if
M1A1
solving simultaneously, A1
()
METHOD 4
use quadratic regression on M1A1
A1
Note: Question asks for expression; condone omission of "".
[3 marks]
trajectory of arrow is (A1)
intersecting and their answer to (d) (M1)
A1
A1
[4 marks]
when (A1)
attempt to find the distance from point of release to intersection (M1)
time for arrow to get there is (A1)
so the arrow should be released when
A1
[4 marks]
Examiners report
This question was found to be the most difficult on the paper. There were a good number of good solutions to parts (a) and part (b), frequently with answers just written down with no working. Part (c) caused some difficulties with confusing variables. The most significant difficulties started with part (d) and became greater to the end of the question. Few candidates were able to work through the final two parts.
Sketch the graphs and on the following axes for 0 < ≤ 9.
Hence solve in the range 0 < ≤ 9.
Markscheme
* This question is from an exam for a previous syllabus, and may contain minor differences in marking or structure.
A1A1
Note: Award A1 for each correct curve, showing all local max & mins.
Note: Award A0A0 for the curves drawn in degrees.
[2 marks]
= 1.35, 4.35, 6.64 (M1)
Note: Award M1 for attempt to find points of intersections between two curves.
0 < < 1.35 A1
Note: Accept < 1.35.
4.35 < < 6.64 A1A1
Note: Award A1 for correct endpoints, A1 for correct inequalities.
Note: Award M1FTA1FTA0FTA0FT for 0 < < 7.31.
Note: Accept < 7.31.
[4 marks]
Examiners report
Consider the function .
Consider the region bounded by the curve , the -axis and the lines .
Show that the -coordinate of the minimum point on the curve satisfies the equation .
Determine the values of for which is a decreasing function.
Sketch the graph of showing clearly the minimum point and any asymptotic behaviour.
Find the coordinates of the point on the graph of where the normal to the graph is parallel to the line .
This region is now rotated through radians about the -axis. Find the volume of revolution.
Markscheme
attempt to use quotient rule or product rule M1
A1A1
Note: Award A1 for or equivalent and A1 for or equivalent.
setting M1
or equivalent A1
AG
[5 marks]
A1A1
Note: Award A1 for and A1 for . Accept .
[2 marks]

concave up curve over correct domain with one minimum point above the -axis. A1
approaches asymptotically A1
approaches asymptotically A1
Note: For the final A1 an asymptote must be seen, and must be seen on the -axis or in an equation.
[3 marks]
(A1)
attempt to solve for (M1)
A1
A1
[4 marks]
(M1)(A1)
Note: M1 is for an integral of the correct squared function (with or without limits and/or ).
A1
[3 marks]
Examiners report
Beth goes for a run. She uses a fitness app to record her distance, km, and time, minutes. A graph of her distance against time is shown.
Beth runs at a constant speed of 2.3 ms–1 for the first 8 minutes.
Between 8 and 20 minutes, her distance can be modeled by a cubic function, . She reads the following data from her app.
Hence find
Calculate her distance after 8 minutes. Give your answer in km, correct to 3 decimal places.
Find the value of , , and .
the distance she runs in 20 minutes.
her maximum speed, in ms–1.
Markscheme
M1A1
[2 marks]
either using a cubic regression or solving a system of 4 equations M1
A1A1A1A1
[5 marks]
km (Note: Condone km obtained from using rounded values.) M1A1
[2 marks]
EITHER finding maximum of OR solving M1
maximum speed = 0.390… km per minute A1
maximum speed = 6.51 ms–1 M1A1
[4 marks]
Examiners report
Consider the function defined by where .
Sketch the graph of indicating clearly any intercepts with the axes and the coordinates of any local maximum or minimum points.
State the range of .
Solve the inequality .
Markscheme
* This question is from an exam for a previous syllabus, and may contain minor differences in marking or structure.

correct shape passing through the origin and correct domain A1
Note: Endpoint coordinates are not required. The domain can be indicated by and 1 marked on the axis.
A1
two correct intercepts (coordinates not required) A1
Note: A graph passing through the origin is sufficient for .
[3 marks]
A1A1
Note: Award A1A0 for open or semi-open intervals with correct endpoints. Award A1A0 for closed intervals with one correct endpoint.
[2 marks]
attempting to solve either (or equivalent) or (or equivalent) (eg. graphically) (M1)

(A1)
A1A1
Note: Award A0 for .
[4 marks]
Examiners report
Jorge is carefully observing the rise in sales of a new app he has created.
The number of sales in the first four months is shown in the table below.
Jorge believes that the increase is exponential and proposes to model the number of sales in month with the equation
Jorge plans to adapt Euler’s method to find an approximate value for .
With a step length of one month the solution to the differential equation can be approximated using Euler’s method where
Jorge decides to take the mean of these values as the approximation of for his model. He also decides the graph of the model should pass through the point .
The sum of the square residuals for these points for the least squares regression model is approximately .
Show that Jorge’s model satisfies the differential equation
Show that
Hence find three approximations for the value of .
Find the equation for Jorge’s model.
Find the sum of the square residuals for Jorge’s model using the values .
Comment how well Jorge’s model fits the data.
Give two possible sources of error in the construction of his model.
Markscheme
* This sample question was produced by experienced DP mathematics senior examiners to aid teachers in preparing for external assessment in the new MAA course. There may be minor differences in formatting compared to formal exam papers.
(M1)A1
Note: M1 is for an attempt to find
AG
Note: Accept solution of the differential equation by separating variables
[2 marks]
M1
M1A1
AG
Note: Do not penalize the use of the sign.
[3 marks]
Correct method (M1)
A2
Note: A1 for a single error A0 for two or more errors.
[3 marks]
or A1
(M1)
A1
[3 marks]
(M1)
A1
[2 marks]
The sum of the square residuals is approximately times as large as the minimum possible, so Jorge’s model is unlikely to fit the data exactly R1
[1 mark]
For example
Selecting a single point for the curve to pass through
Approximating the gradient of the curve by the gradient of a chord R1R1
[2 marks]
Examiners report
Consider the curve .
The shape of a piece of metal can be modelled by the region bounded by the functions , , the -axis and the line segment , as shown in the following diagram. The units on the and axes are measured in metres.
The piecewise function is defined by
The graph of is obtained from the graph of by:
- a stretch scale factor of in the direction,
- followed by a stretch scale factor in the direction,
- followed by a translation of units to the right.
Point lies on the graph of and has coordinates . Point is the image of under the given transformations and has coordinates .
The piecewise function is given by
The area enclosed by , the -axis and the line is correct to six significant figures.
Find .
Hence show that the equation of the tangent to the curve at the point is .
Find the value of and the value of .
Find an expression for.
Find the value of .
Find the value of .
Find the area enclosed by , the -axis and the line .
Find the area of the shaded region on the diagram.
Markscheme
(M1)
A1
[2 marks]
gradient at is M1
EITHER
M1
OR
M1
Note: Do not allow working backwards from the given answer.
THEN
hence AG
[2 marks]
(or ) (accept " ") A1A1
[2 marks]
A2
Note: Award A1 if only two correct transformations are seen.
[2 marks]
A1
[1 mark]
EITHER
Correct substitution of their part (b) (or ) into the given expression (M1)
OR
(M1)
Note: Award M1 for transforming the equivalent expression for correctly.
THEN
A1
[2 marks]
recognizing need to add two integrals (M1)
(A1)
Note: The second integral could be replaced by the formula for the area of a trapezoid .
A1
[3 marks]
EITHER
area of a trapezoid (M1)(A1)
OR
(M1)(A1)
Note: If the rounded answer of from part (b) is used, the integral is which would be awarded (M1)(A1).
THEN
shaded area (M1)
Note: Award (M1) for the subtraction of both and their area for the trapezoid from their answer to (a)(i).
A1
[4 marks]
Examiners report
The differentiation using the power rule was well done. In part (ii) some candidates felt it was sufficient to refer to the equation being the same as the one generated by their calculator. Generally, for ‘show that’ questions an algebraic derivation is expected.
The candidates were successful at applying transformations to points but very few were able to apply these transformations to derive the correct function h. In most cases it was due to not appreciating the effect the horizontal transformations have on x.
The candidates were successful at applying transformations to points but very few were able to apply these transformations to derive the correct function h. In most cases it was due to not appreciating the effect the horizontal transformations have on x.
Part (i) was frequently done well using the inbuilt functionality of the GDC. Part (ii) was less structured, and candidates needed to create a clear diagram so they could easily see which areas needed to be subtracted. Most of those who were successful used the formula for the trapezoid for the area they needed to find, though others were also successful through finding the equation of the line AB.